MATEMATIKA SSC
Friday, December 7, 2012
Latihan UAS kelas x
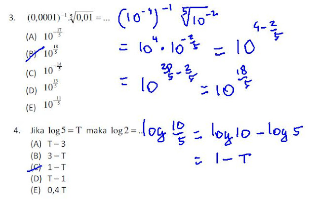
SOAL TANTANGAN
pembahasan
pembahasan
No comments:
Post a Comment
Newer Post
Older Post
Home
Subscribe to:
Post Comments (Atom)
No comments:
Post a Comment