MATEMATIKA SSC
Friday, October 11, 2013
Persiapan UTS kelas X
Persiapan UTS, Bentuk akar, eksponen dan logaritma
nomor 3
nomor 5
nomor 6
nomor 7
nomor 8
nomor 9
nomor 11
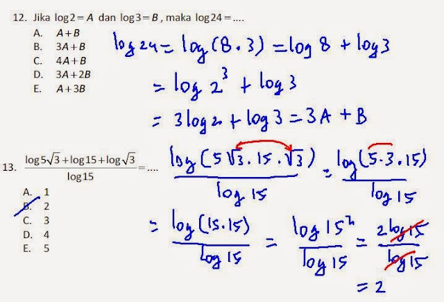
nomor 12
nomor 14
nomor 15
nomor 16
nomor 17
pembahasan no 17 lik di sini
No comments:
Post a Comment
Newer Post
Older Post
Home
Subscribe to:
Post Comments (Atom)
No comments:
Post a Comment