MATEMATIKA SSC
Tuesday, November 26, 2013
Persiapan UAS
Persiapan UAS Kelas XII
Nomor 1
Nomor 2
Nomor 3
Cara Kedua untuk Nomor 3
Nomor 4
Nomor 5
Nomor 6
nomor 7
Tambahan
Nomor 8
Nomor 9
Nomor 10
Friday, November 22, 2013
Sistem Persamaan
Sistem Persamaan Linear 2 Variabel
Sistem Persamaan Linear 3 Variabel
Wednesday, November 13, 2013
Trigonometri Perkalian dan Penjumlahan
Trigonometri
Mengubah Rumus Perkalian menjadi Penjumlahan dan sebaliknya
Pembahasan soal tantangan
nomor 19
nomor 20
nomor 21, 22, 23
Wednesday, November 6, 2013
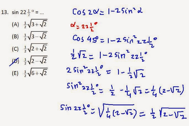
Trigonometri Sudut Rangkap
Trigonometri Sudut Rangkap
Pembahasan Soal Tantangan
nomor 19
nomor 20
nomor 21
nomor 22
Newer Posts
Older Posts
Home
Subscribe to:
Comments (Atom)