MATEMATIKA SSC
Wednesday, September 18, 2013
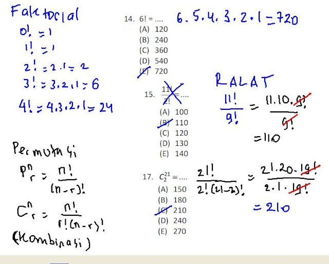
Peluang
Pembahasan Peluang Bagian Kaidah pencacahan
untuk video selanjutnya silakan
klik di sini
Sisanya bisa anda lihat melalui video, silakan
klik di sini
Friday, September 6, 2013
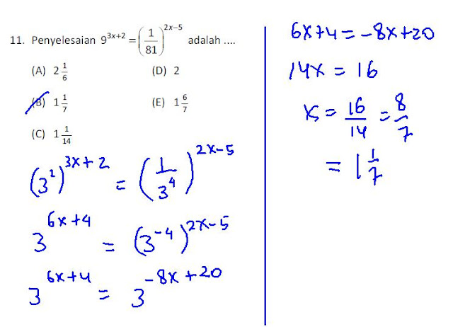
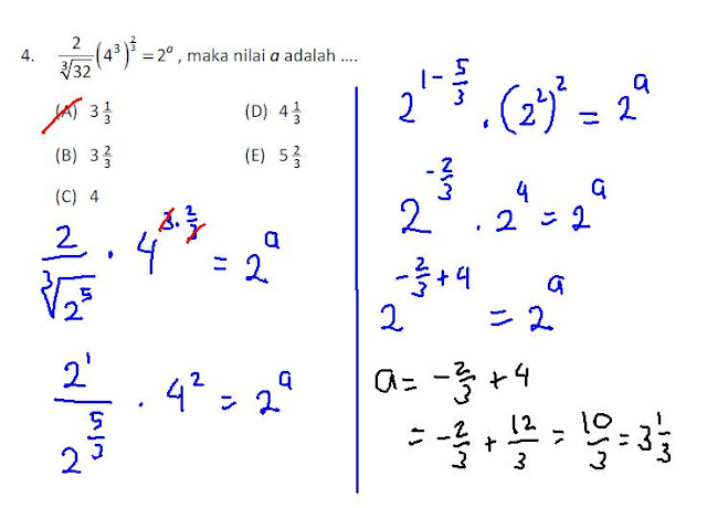
EKSPONEN
Eksponen 6 September 2013
Newer Posts
Older Posts
Home
Subscribe to:
Comments (Atom)